139823441168年专注助贷服务
您身边的助贷咨询专家!
联系我们Contact us
全国咨询电话13982344116

攀西助贷网,攀枝花雅安助贷网,雅安助贷,雅安贷款提供雅安税金贷,雅安发票贷,雅安房抵贷,雅安信用贷,雅安车抵贷等贷款咨讯服务

公司地址:攀枝花市东区花城下街4号攀枝花影城7楼

联系电话:13982344116

公司邮箱:22388805@qq.com

您的位置:首页>>助贷资讯>>助贷百科
助贷百科

先息后本、等额本息、等额本金,到底该选哪个?

作者: 发布时间:2025-08-11 14:32:58点击:3887

信息摘要:
之前写过房贷利息的计算逻辑,总结下来就是借多少钱,还多少利。不管是等额本金、等额本息、提前还贷的减月供、缩年限,本质上都一样,只是看个人的资金规划。

房贷还了 8 年之后,再提前还贷就不划算了么?
    结论先行:如果是短期资金需求,且借款利率够低,选先息后本(通常是消费贷/经营贷可选)。如果是长期资金需求(通常是房贷),若短期现金流充裕且无太好的投资手段,选等额本金;若短期现金流紧张,则选等额本息。
    用一个例子进一步说明常见的几种还款方式的特点,应该会更直观一些。举例:30万贷款,年利率3.5%,借12个月,以下是三种方式的还款计划。
    总结来说:先息后本前期还款压力小,但总成本更高,一般消费贷主推这种还款方式。等额本金和等额本息每个月都需要还一定的本金,利息成本更低,但前期压力大,对银行来说风险小一些,所以房贷、车贷这种偏大额、年限长的贷款主推。对比等额本金和等额本息,等额本息每个月还款额相同,方便规划;且前期压力对比等额本金要小一些,通常是年轻人买房。
图片
    这三种还款方式没有哪个更划算之说,只是要配合自己的资金情况来看,这里对计算方法做进一步说明,借钱,也要借的明白一些。
    (1)先息后本:每个月的利息相同,原因是借银行的本金是相同的,每个月的利息都是30万 x 3.5% / 12 = 875元。总利息更高的原因是中途没还过本金,所以计息金额一直是30万。
    (2)等额本金:每个月还本金相同为30万/12 = 2.5万,但由于每个月会还本金,计息的本金会越来越少,比如:
    第1个月的利息是30万 x 3.5% / 12 = 875元;
    第2个月的利息是(30万-2.5万)x 3.5%/12 = 802元,原因是上个月还的2.5万不应该再计息了;
    第3个月的利息是(30万-2.5万-2.5万)x 3.5%/12 = 729元。因为每个月在还本金,所以最后总利息是最少的。

    (3)等额本息:逻辑和等额本金大致相似,不过因为要强制还款金额固定,因此月供金额需要根据公式反推。这里我尝试用相对通俗的语言解释一下。先说公式,再说方法:
图片
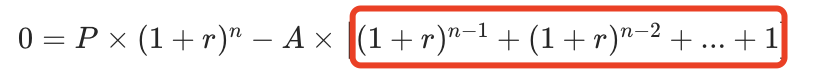
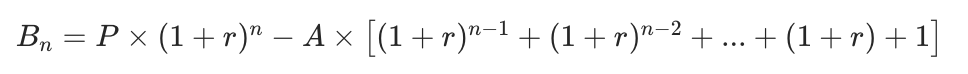
    贷款本金 P = 30万,月利率 r = 3.5%/12 = 0.2917%,还款总月数n = 12。假设月供 = A (需要推算),核心逻辑是(1)每个月还款金额相同;(2)还了的本金不再计息;(3)n个月之后剩余本金为0 (钱还完了)




初始本金 B0 = P第1个月剩余本金B1 = Px(1+r)-A第2个月剩余本金B2 = B1x(1+r)-A = Px(1+r)x(1+r)-Ax(1+r)-A...
以此类推:得到第n个月剩余本金为
图片
要求n个月之后本金为0,即Bn = 0
图片
又根据等比数列求和公式:
图片
最后得出:
图片

本文标签:助贷百科
在线客服
联系方式

热线电话

13982344116

上班时间

周一到周五

公司电话

13982344116

二维码
线